Официальное опубликование правовых актов
ОФИЦИАЛЬНОЕ ОПУБЛИКОВАНИЕ
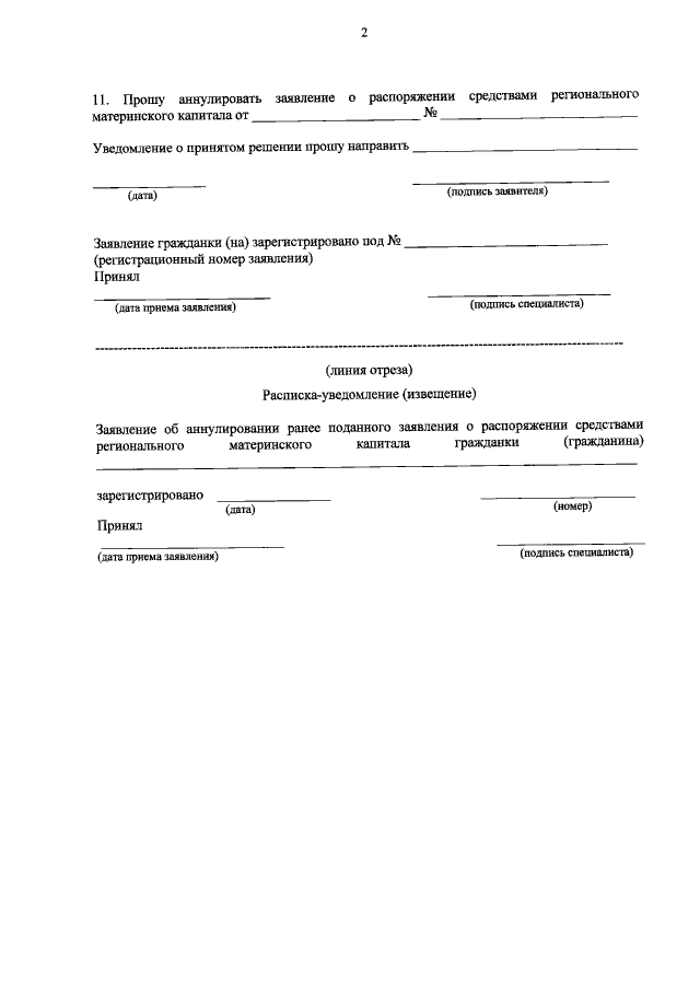
Приказ департамента социальной защиты Воронежской области от 18.07.2019 № 43/н
"Об утверждении Порядка распоряжения средствами регионального материнского капитала лицами, получившими сертификат, на улучшение жилищных условий на территории Воронежской области"
(Зарегистрирован 29.07.2019 № 524)
Номер опубликования: 3601201907310002
Дата опубликования: 31.07.2019
Страница №33 из 33:
Увеличить