Официальное опубликование правовых актов
ОФИЦИАЛЬНОЕ ОПУБЛИКОВАНИЕ
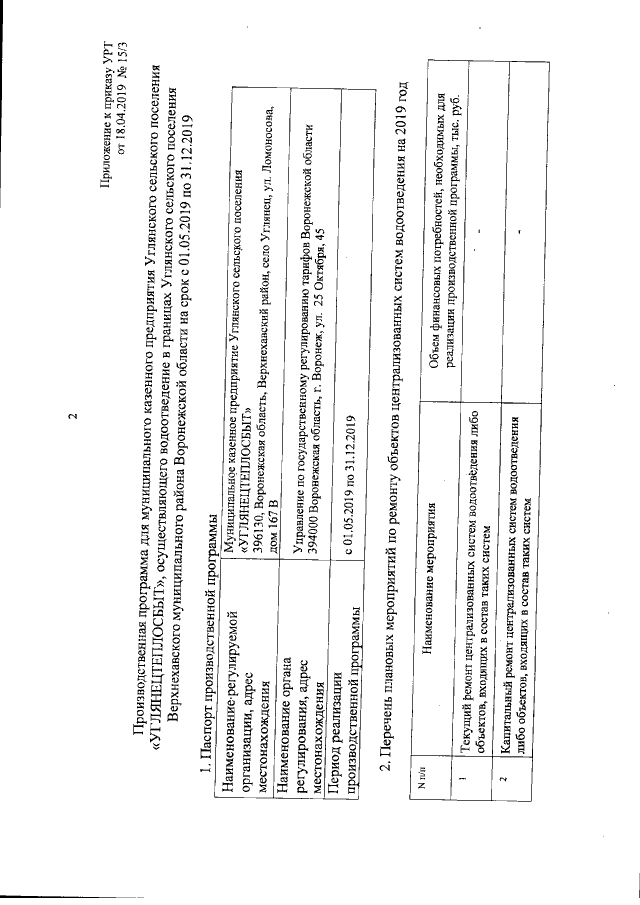
Приказ управления по государственному регулированию тарифов Воронежской области
от 18.04.2019 № 15/3
"Об установлении тарифов на транспортировку сточных вод для муниципального казенного предприятия Углянского сельского поселения "УГЛЯНЕЦТЕПЛОСБЫТ", осуществляющего водоотведение в границах Углянского сельского поселения Верхнехавского муниципального района Воронежской области"
(Зарегистрирован 22.04.2019 № 294)
Номер опубликования: 3601201904230004
Дата опубликования: 23.04.2019
Страница №2 из 4:
Увеличить