Официальное опубликование правовых актов
ОФИЦИАЛЬНОЕ ОПУБЛИКОВАНИЕ
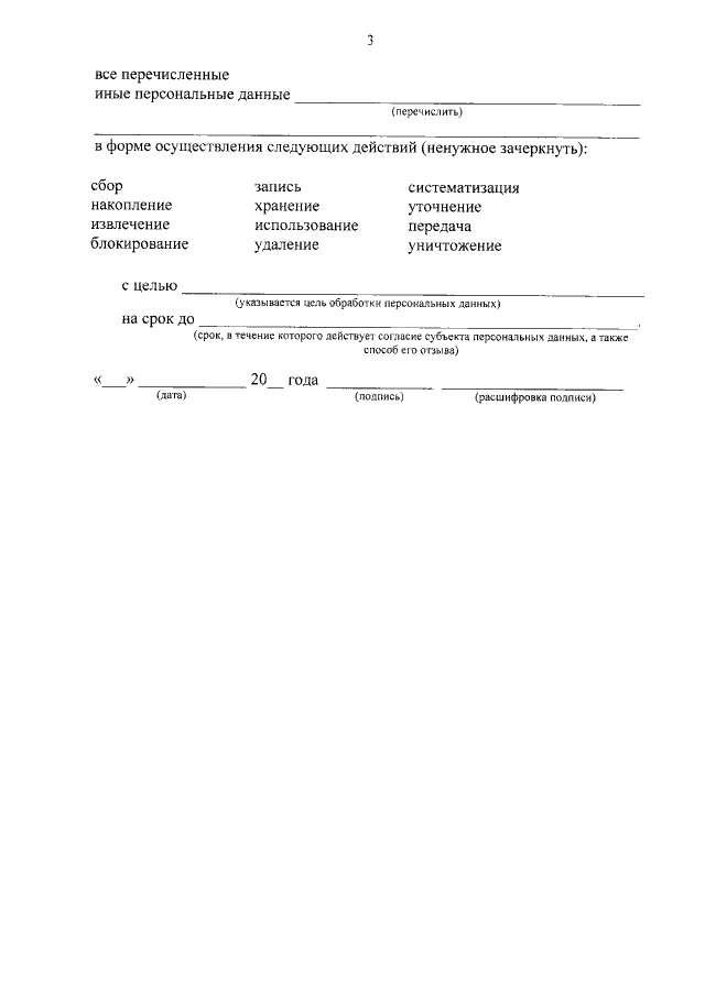
Приказ Департамента архитектуры и градостроительства Воронежской области от 29.11.2018 № 45-01-04/163
"Об утверждении документов, определяющих политику в отношении обработки персональных данных в департаменте архитектуры и градостроительства Воронежской области"
(Зарегистрирован 17.12.2018 № 1241)
Номер опубликования: 3601201812190058
Дата опубликования: 19.12.2018
Страница №36 из 39:
Увеличить