Официальное опубликование правовых актов
ОФИЦИАЛЬНОЕ ОПУБЛИКОВАНИЕ
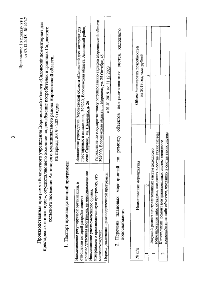
Приказ управления по государственному регулированию тарифов Воронежской области
от 07.12.2018 № 49/47
"Об установлении долгосрочных параметров регулирования деятельности и тарифов на питьевую воду (питьевое водоснабжение) для бюджетного учреждения Воронежской области "Садовский дом-интернат для престарелых и инвалидов", осуществляющего холодное водоснабжение потребителей в границах Садовского сельского поселения Аннинского муниципального района Воронежской области, на период 2019-2023 годов"
(Зарегистрирован 12.12.2018 № 1150)
Номер опубликования: 3601201812130031
Дата опубликования: 13.12.2018
Страница №3 из 7:
Увеличить