Официальное опубликование правовых актов
ОФИЦИАЛЬНОЕ ОПУБЛИКОВАНИЕ
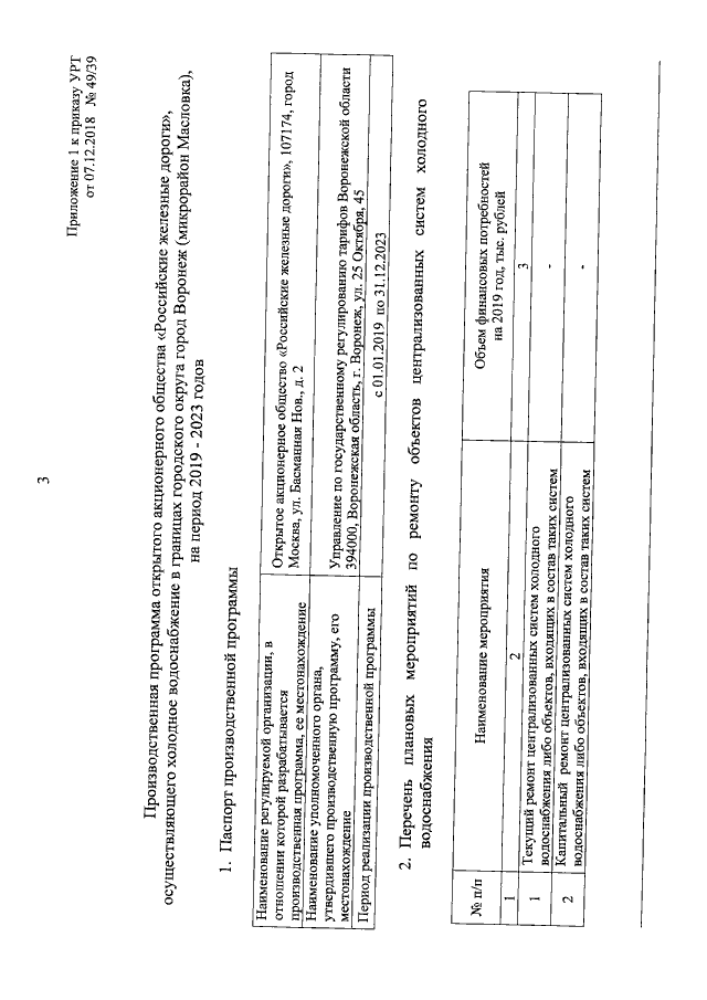
Приказ управления по государственному регулированию тарифов Воронежской области
от 07.12.2018 № 49/39
"Об установлении долгосрочных параметров регулирования деятельности и тарифов на транспортировку воды для открытого акционерного общества "Российские железные дороги", осуществляющего холодное водоснабжение в границах городского округа город Воронеж (микрорайон Масловка), на период 2019-2023 годов"
(Зарегистрирован 12.12.2018 № 1146)
Номер опубликования: 3601201812130007
Дата опубликования: 13.12.2018
Страница №3 из 7:
Увеличить