Официальное опубликование правовых актов
ОФИЦИАЛЬНОЕ ОПУБЛИКОВАНИЕ
Приказ управления по государственному регулированию тарифов Воронежской области
от 03.12.2018 № 48/64
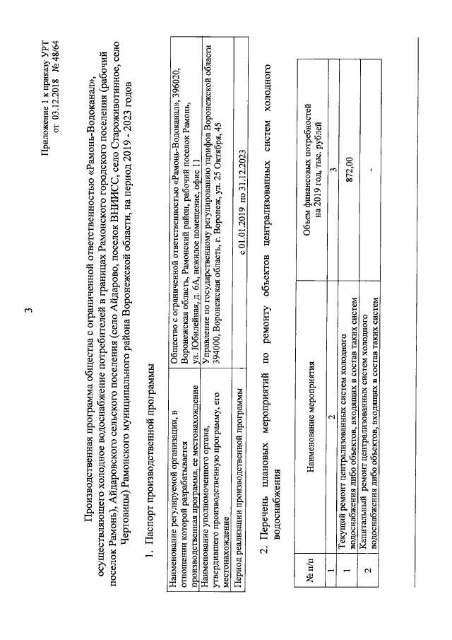
"Об установлении долгосрочных параметров регулирования деятельности и тарифов на питьевую воду (питьевое водоснабжение) для общества с ограниченной ответственностью "Рамонь-водоканал", осуществляющего холодное водоснабжение потребителей в границах Рамонского городского поселения (рабочий поселок Рамонь), Айдаровского сельского поселения (село Айдарово, поселок ВНИИСС, село Староживотинное, село Чертовицы) Рамонского муниципального района Воронежской области, на период 2019-2023 годов"
(Зарегистрирован 06.12.2018 № 1099)
Номер опубликования: 3601201812070033
Дата опубликования: 07.12.2018
Страница №3 из 7:
Увеличить