Официальное опубликование правовых актов
ОФИЦИАЛЬНОЕ ОПУБЛИКОВАНИЕ
Приказ управления по государственному регулированию тарифов Воронежской области
от 23.08.2018 № 32/1
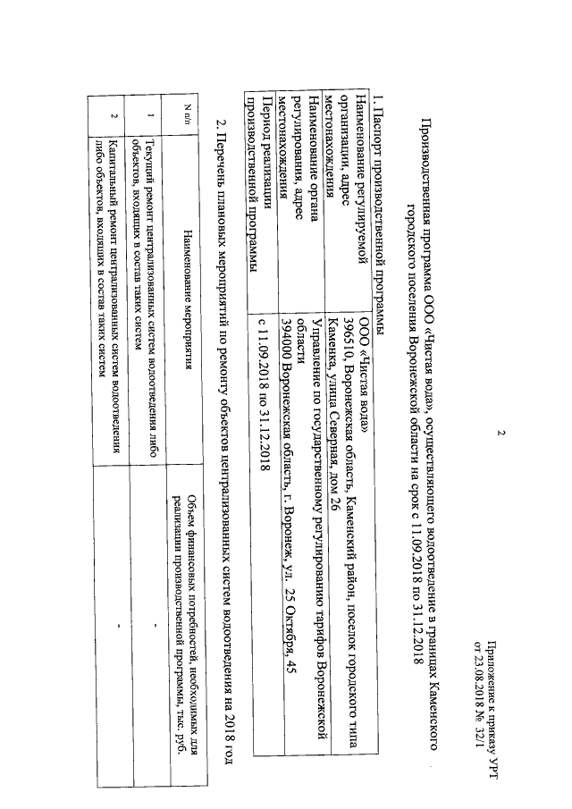
"Об установлении тарифов на водоотведение для ООО "Чистая вода", осуществляющего водоотведение в границах Каменского городского поселения Воронежской области"
(Зарегистрирован 24.08.2018 № 585)
Номер опубликования: 3601201808270004
Дата опубликования: 27.08.2018
Страница №2 из 4:
Увеличить