Официальное опубликование правовых актов
ОФИЦИАЛЬНОЕ ОПУБЛИКОВАНИЕ
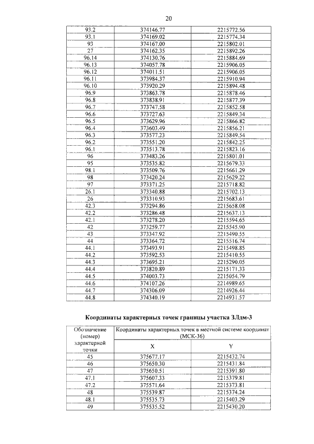
Приказ управления по охране объектов культурного наследия Воронежской области от 01.06.2018 № 71-01-07/99
"О включении выявленного объекта культурного наследия "Пенькова гора" (Воронежская область, г. Калач) в единый государственный реестр объектов культурного наследия (памятников истории и культуры) народов Российской Федерации"
(Зарегистрирован 13.06.2018 № 330)
Номер опубликования: 3601201806140004
Дата опубликования: 14.06.2018
Страница №20 из 44:
Увеличить