Официальное опубликование правовых актов
ОФИЦИАЛЬНОЕ ОПУБЛИКОВАНИЕ
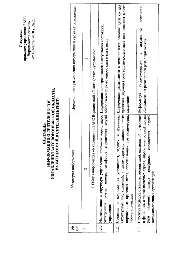
Приказ управления записи актов гражданского состояния (ЗАГС) Воронежской области от 12.03.2018 № 25
"Об утверждении перечня информации о деятельности управления ЗАГС Воронежской области, размещаемой в сети "Интернет"
(Зарегистрирован 16.03.2018 № 111)
Номер опубликования: 3601201803190004
Дата опубликования: 19.03.2018
Страница №2 из 6:
Увеличить