Официальное опубликование правовых актов
ОФИЦИАЛЬНОЕ ОПУБЛИКОВАНИЕ
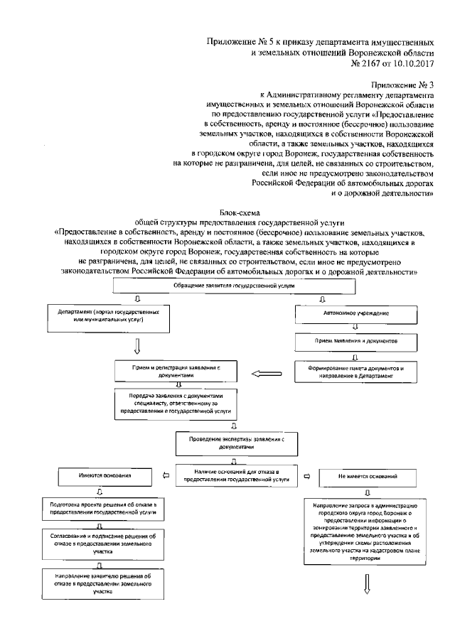
Приказ департамента имущественных и земельных отношений Воронежской области от 10.10.2017 № 2167
"О внесении изменений в приказы департамента имущественных и земельных отношений Воронежской области от 11.01.2012 № 5, от 11.01.2012 №6, от 11.01.2012 №7"
(Зарегистрирован 24.10.2017 № 679)
Номер опубликования: 3601201710300003
Дата опубликования: 30.10.2017
Страница №16 из 23:
Увеличить