Официальное опубликование правовых актов
ОФИЦИАЛЬНОЕ ОПУБЛИКОВАНИЕ
Приказ департамента имущественных и земельных отношений Воронежской области от 07.09.2017 № 1901
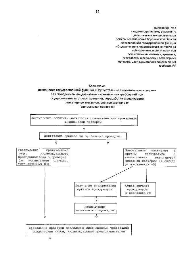
"Об утверждении административного регламента департамента имущественных и земельных отношений Воронежской области по исполнению государственной функции "Осуществление лицензионного контроля за соблюдением лицензиатами при осуществлении заготовки, хранения, переработки и реализации лома черных металлов, цветных металлов лицензионных требований"
(Зарегистрирован 22.09.2017 № 609)
Номер опубликования: 3601201709280002
Дата опубликования: 28.09.2017
Страница №34 из 36:
Увеличить