Официальное опубликование правовых актов
ОФИЦИАЛЬНОЕ ОПУБЛИКОВАНИЕ
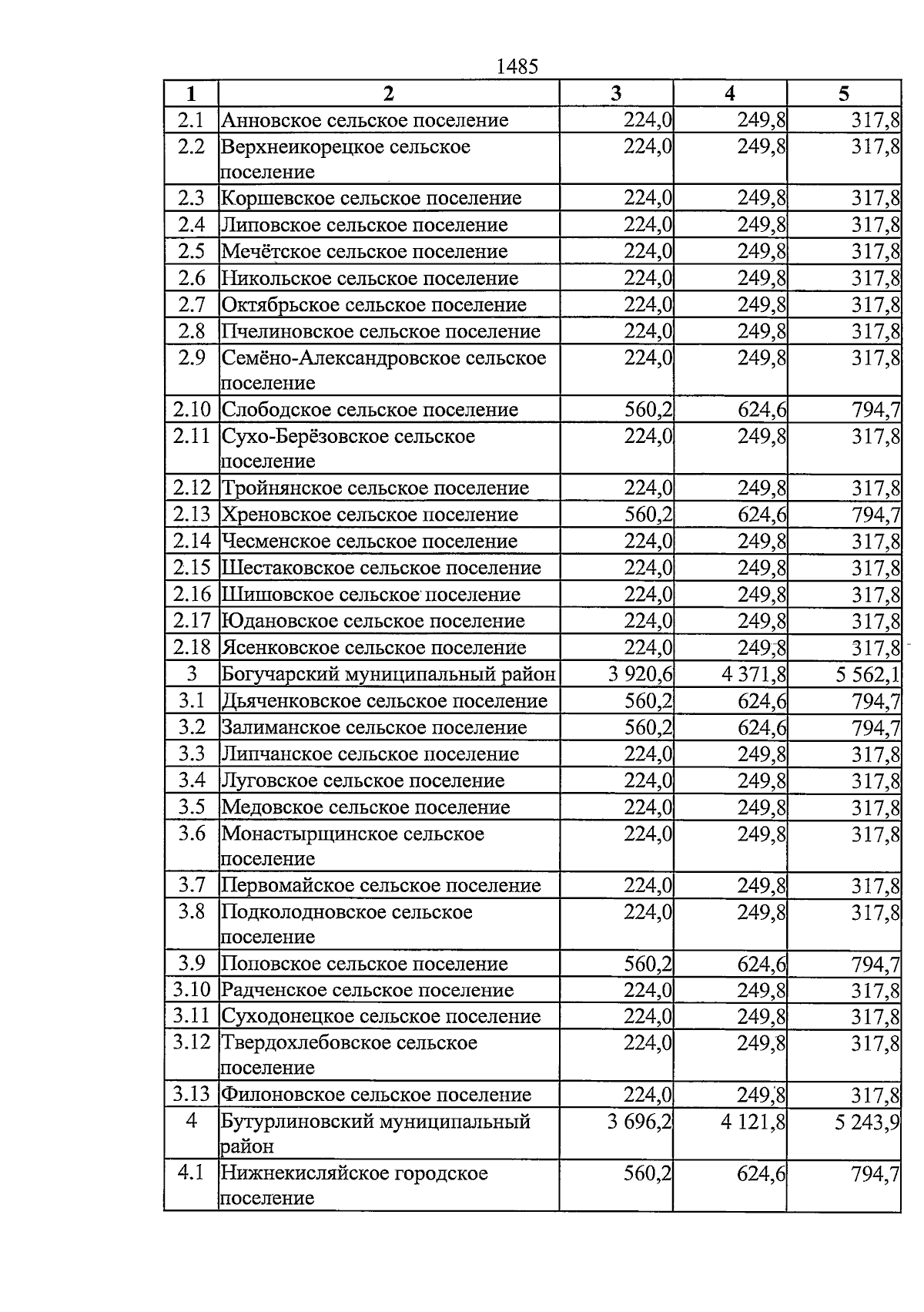
Закон Воронежской области от 17.12.2025 № 155-ОЗ
"Об областном бюджете на 2026 год и на плановый период 2027 и 2028 годов"
Номер опубликования: 3600202512190007
Дата опубликования: 19.12.2025
Страница №1485 из 1530:
Увеличить