Официальное опубликование правовых актов
ОФИЦИАЛЬНОЕ ОПУБЛИКОВАНИЕ
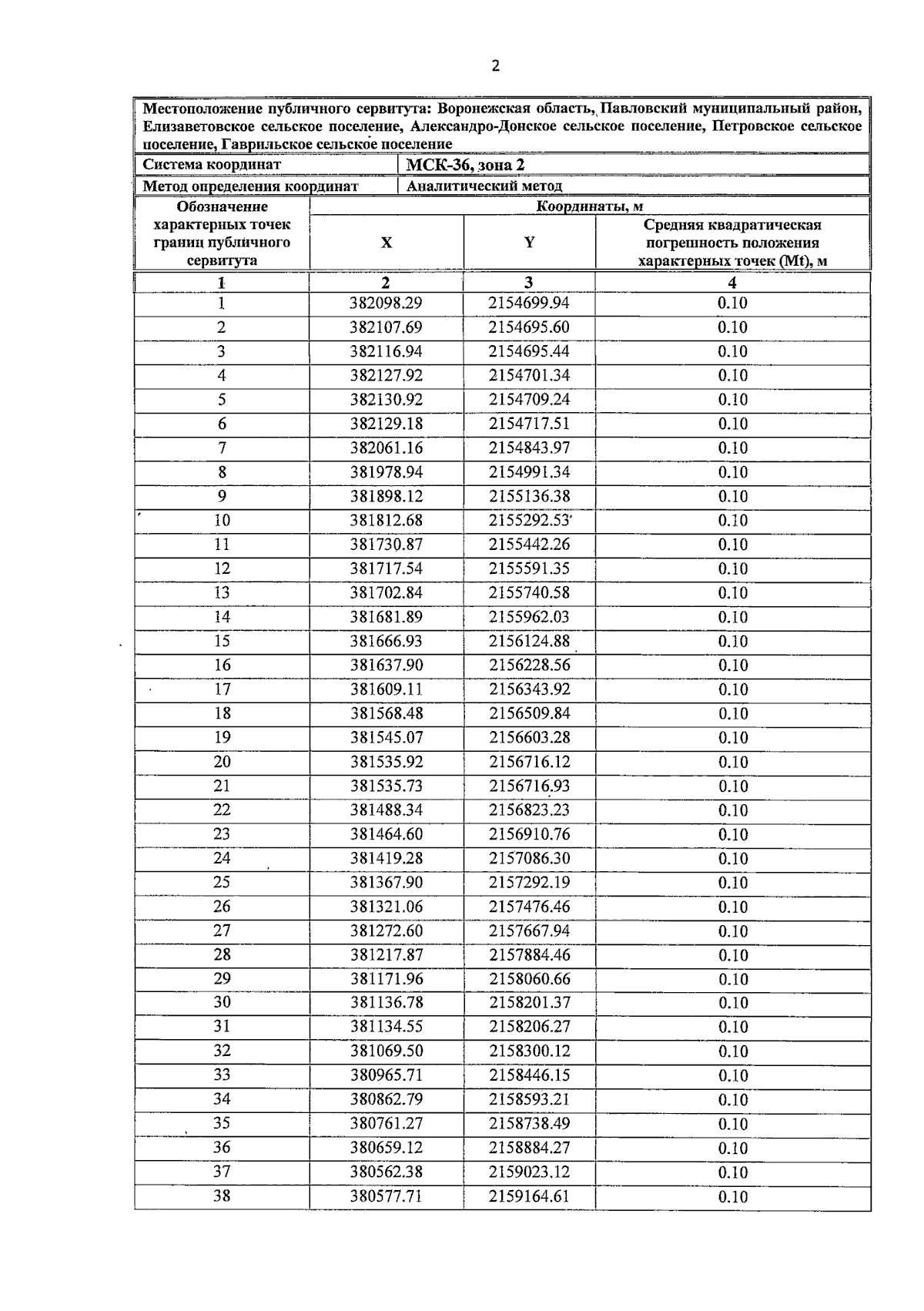
Постановление Правительства Воронежской области от 19.05.2025 № 327
"Об установлении публичного сервитута"
Номер опубликования: 3600202505190006
Дата опубликования: 19.05.2025
Страница №13 из 46:
Увеличить