Официальное опубликование правовых актов
ОФИЦИАЛЬНОЕ ОПУБЛИКОВАНИЕ
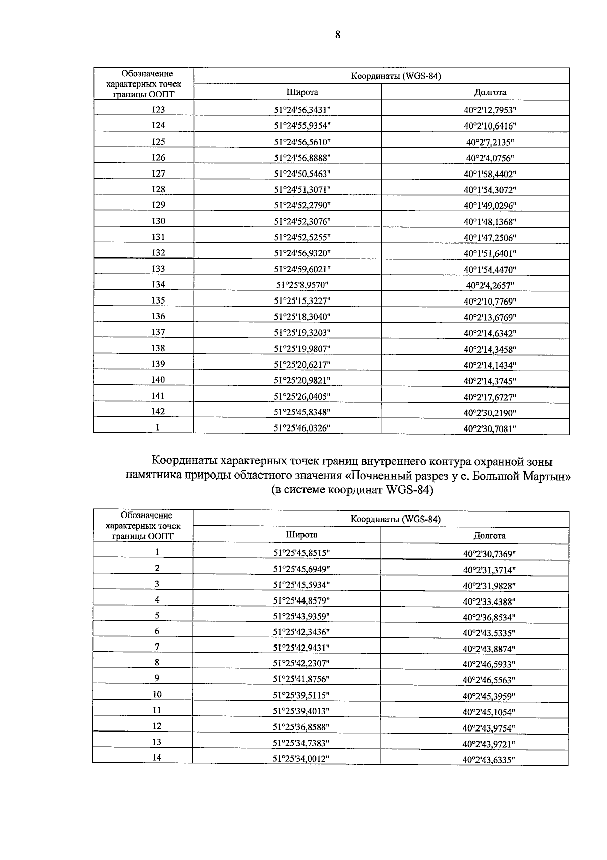
Указ Губернатора Воронежской области от 20.03.2025 № 53-у
"Об установлении охранной зоны памятника природы областного значения "Почвенный разрез у с. Большой Мартын"
Номер опубликования: 3600202503210012
Дата опубликования: 21.03.2025
Страница №10 из 20:
Увеличить