Официальное опубликование правовых актов
ОФИЦИАЛЬНОЕ ОПУБЛИКОВАНИЕ
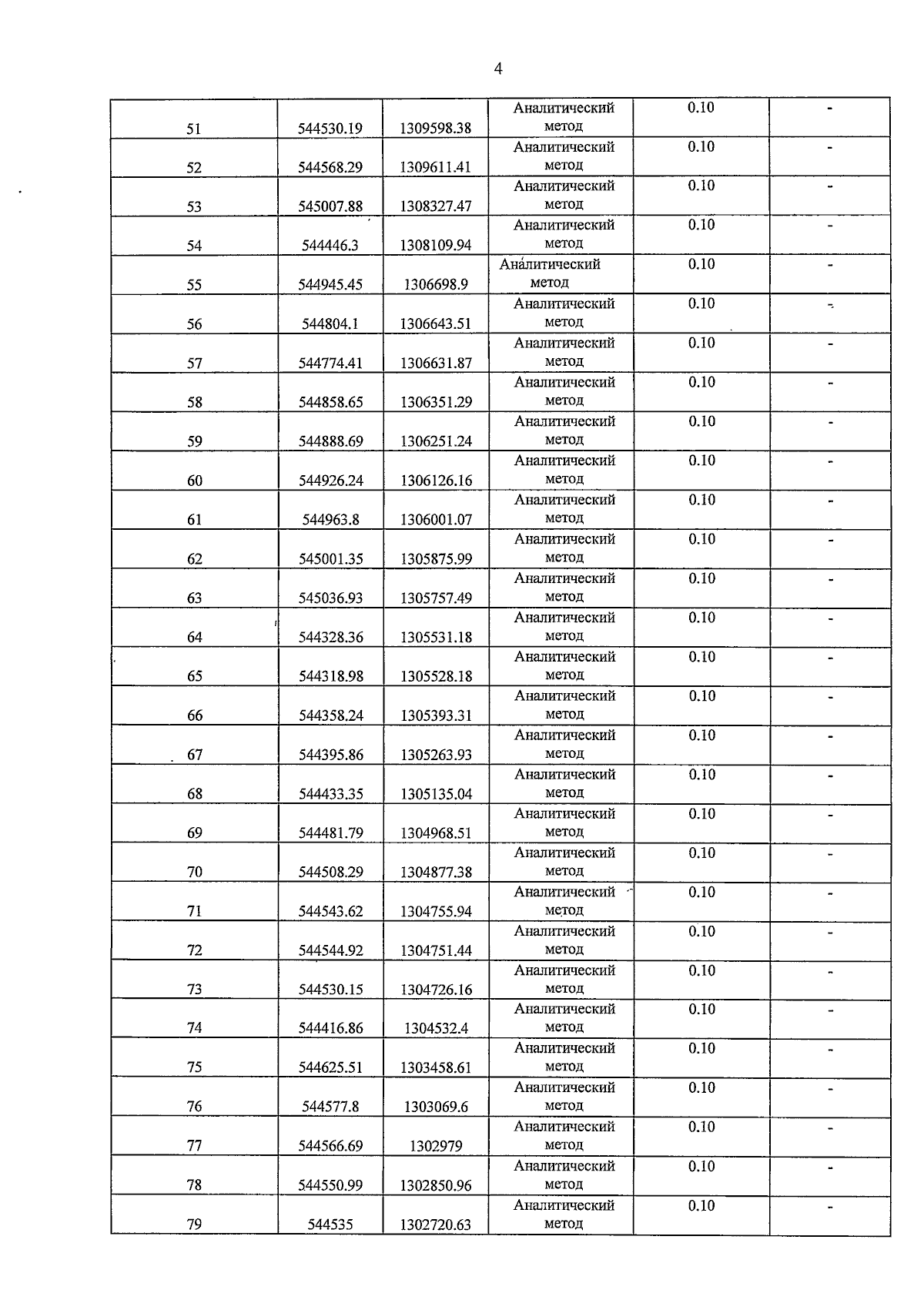
Постановление Правительства Воронежской области от 12.03.2025 № 149
"Об установлении публичного сервитута"
Номер опубликования: 3600202503130004
Дата опубликования: 13.03.2025
Страница №7 из 10:
Увеличить