Официальное опубликование правовых актов
ОФИЦИАЛЬНОЕ ОПУБЛИКОВАНИЕ
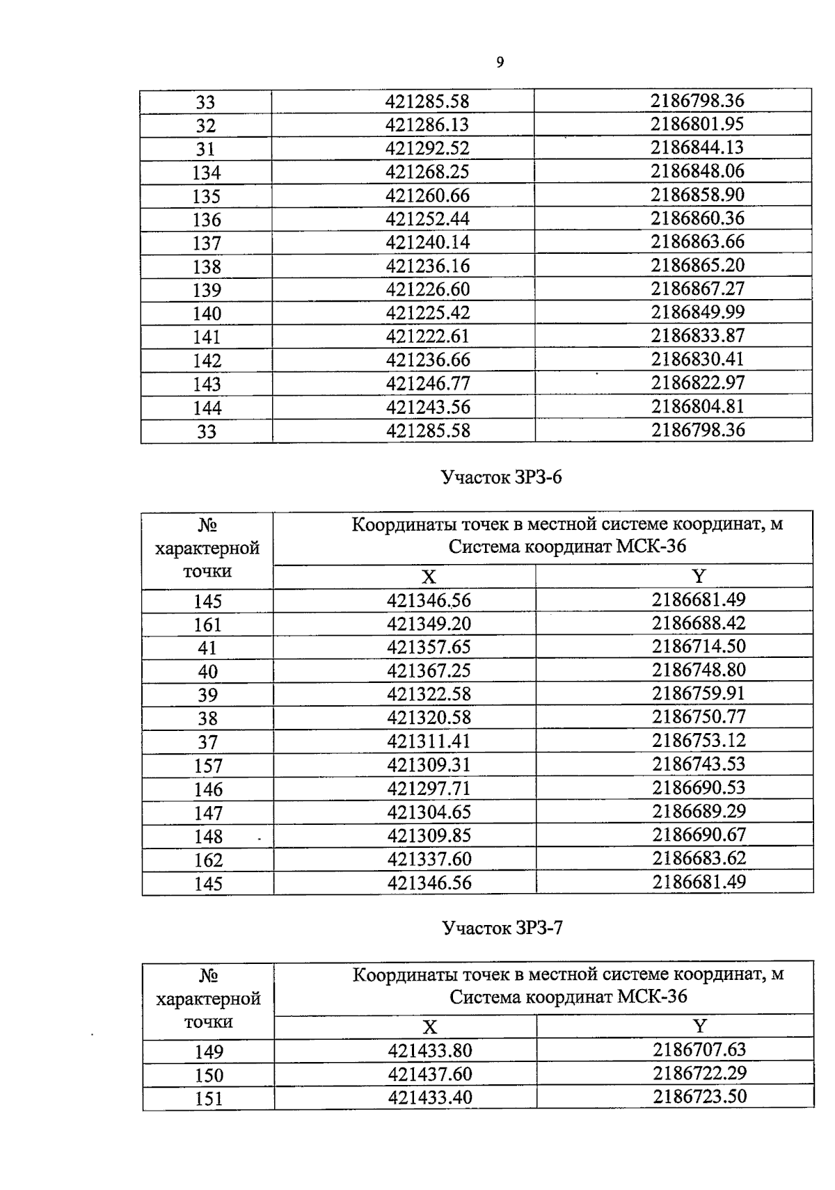
Постановление Правительства Воронежской области от 26.02.2025 № 113
"О внесении изменений в постановление Правительства Воронежской области от 17.01.2020 № 29"
Номер опубликования: 3600202502280010
Дата опубликования: 28.02.2025
Страница №9 из 24:
Увеличить