Официальное опубликование правовых актов
ОФИЦИАЛЬНОЕ ОПУБЛИКОВАНИЕ
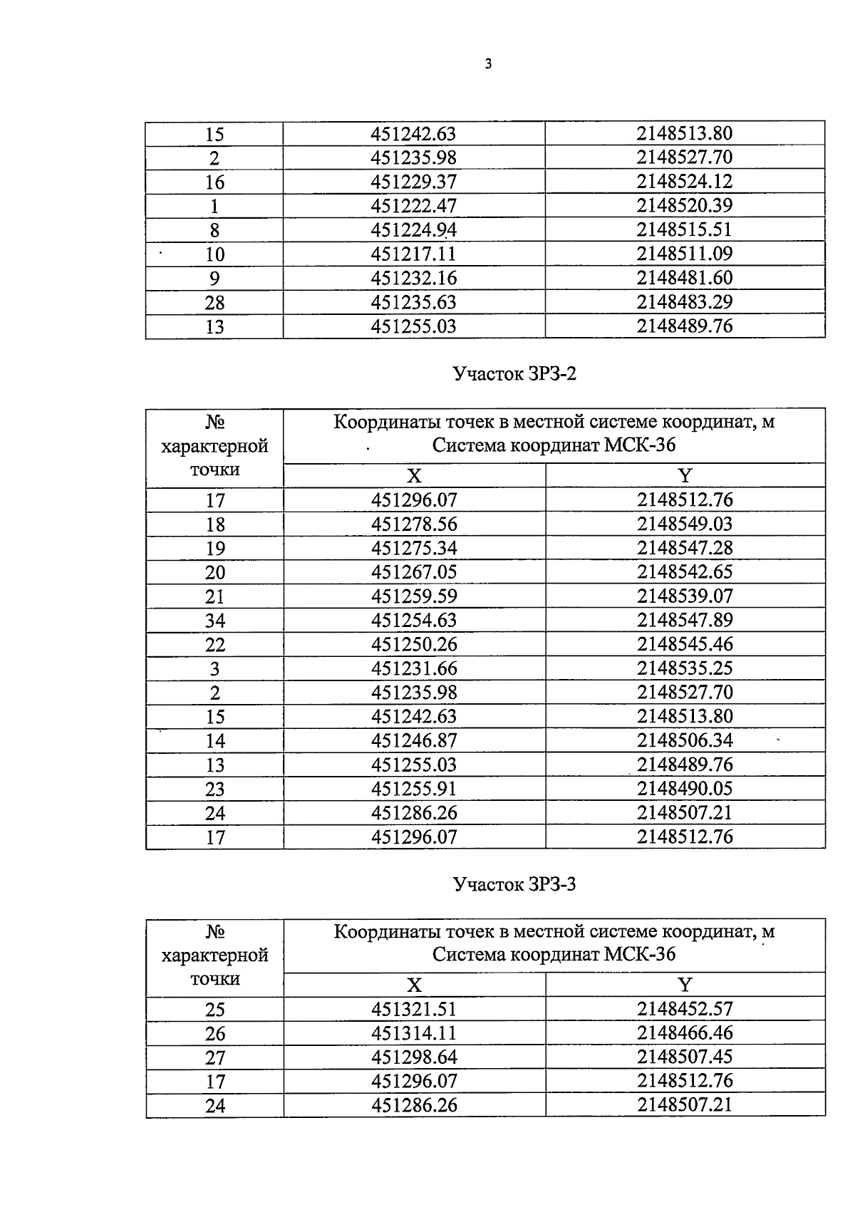
Постановление Правительства Воронежской области от 26.02.2025 № 116
"Об утверждении зон охраны объектов культурного наследия регионального значения, расположенных на территории городского поселения - город Бобров Бобровского муниципального района Воронежской области, и требований к градостроительным регламентам в границах территорий указанных зон"
Номер опубликования: 3600202502280008
Дата опубликования: 28.02.2025
Страница №5 из 58:
Увеличить