Официальное опубликование правовых актов
ОФИЦИАЛЬНОЕ ОПУБЛИКОВАНИЕ
Постановление Правительства Воронежской области от 26.02.2025 № 112
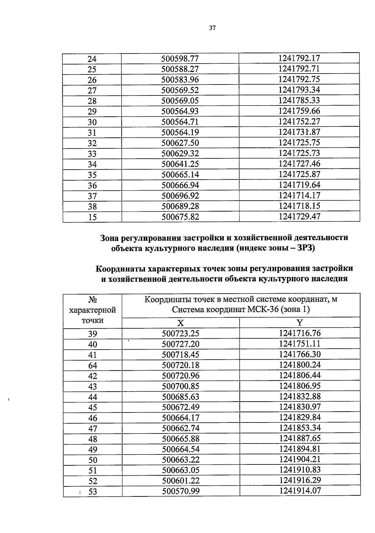
"Об утверждении зон охраны объектов культурного наследия регионального значения, расположенных на территории Нижнедевицкого сельского поселения Нижнедевицкого муниципального района Воронежской области, и требований к градостроительным регламентам в границах территорий указанных зон"
Номер опубликования: 3600202502280006
Дата опубликования: 28.02.2025
Страница №39 из 49:
Увеличить