Официальное опубликование правовых актов
ОФИЦИАЛЬНОЕ ОПУБЛИКОВАНИЕ
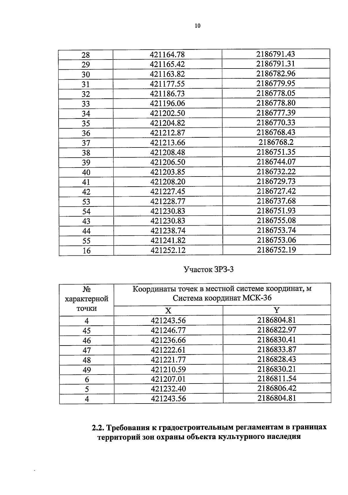
Постановление Правительства Воронежской области от 26.02.2025 № 117
"Об утверждении зон охраны объектов культурного наследия регионального значения, расположенных на территории Бутурлиновского городского поселения Бутурлиновского муниципального района Воронежской области, и требований к градостроительным регламентам в границах территорий указанных зон"
Номер опубликования: 3600202502280005
Дата опубликования: 28.02.2025
Страница №12 из 72:
Увеличить