Официальное опубликование правовых актов
ОФИЦИАЛЬНОЕ ОПУБЛИКОВАНИЕ
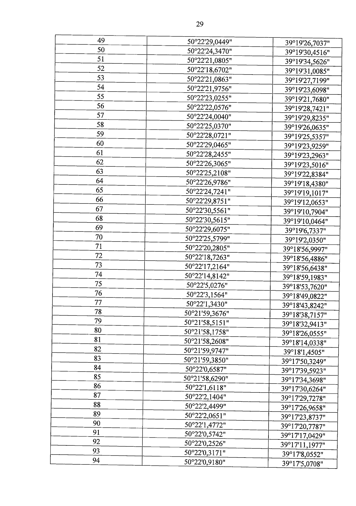
Постановление Правительства Воронежской области от 16.01.2025 № 24
"О создании государственного природного заказника областного значения "Ольховатский"
Номер опубликования: 3600202501170005
Дата опубликования: 17.01.2025
Страница №36 из 54:
Увеличить