Постановление Правительства Воронежской области от 27.12.2024 № 876
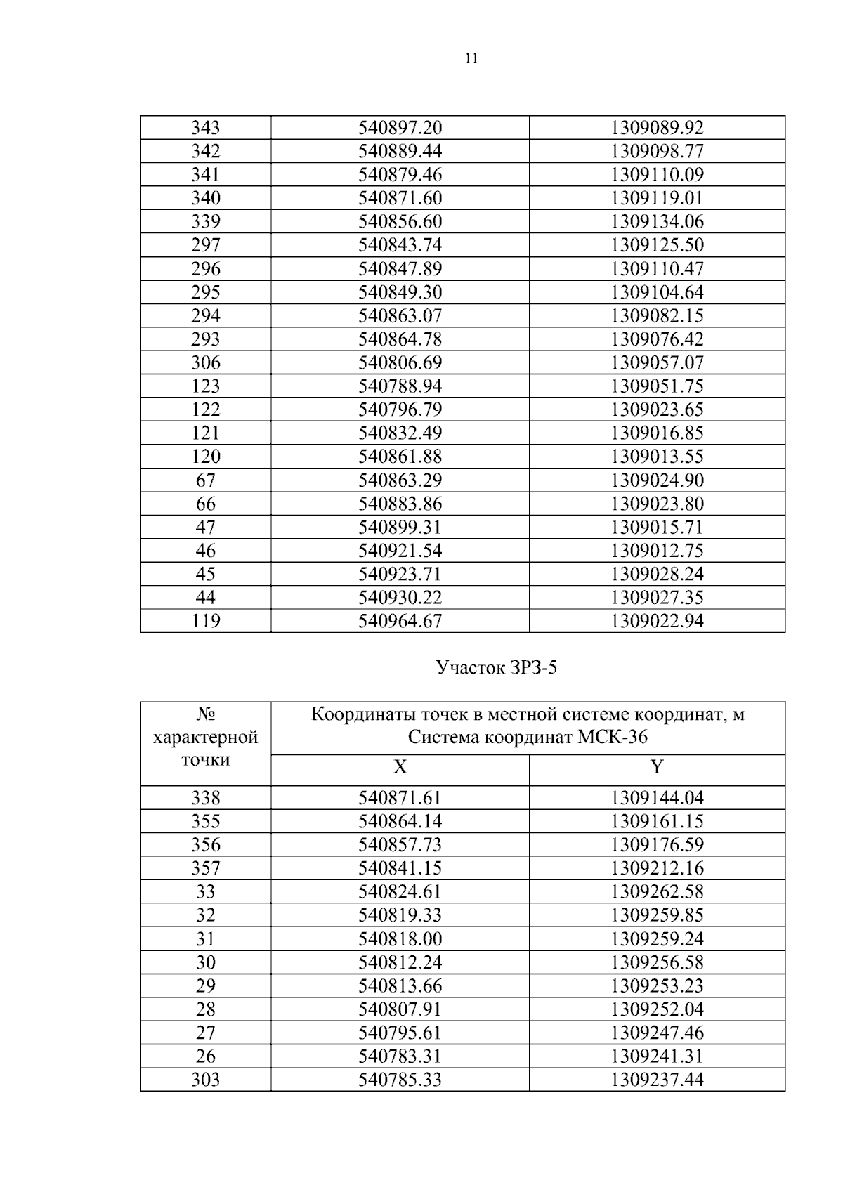
"Об утверждении зон охраны объекта культурного наследия регионального значения "Дворцовый ансамбль Ольденбургских "Рамонь", расположенного по адресу: Воронежская область, Рамонский район, Рамонское городское поселение, рп. Рамонь, ул. Мосина, 9, 15а, 19б, 21, 23, 23Б, ул. Школьная, 2, 3, 4, ул. 9 Января, 5а, 9, ул. Победы, 2, и требований к градостроительным регламентам в границах территорий указанных зон"
"Об утверждении зон охраны объекта культурного наследия регионального значения "Дворцовый ансамбль Ольденбургских "Рамонь", расположенного по адресу: Воронежская область, Рамонский район, Рамонское городское поселение, рп. Рамонь, ул. Мосина, 9, 15а, 19б, 21, 23, 23Б, ул. Школьная, 2, 3, 4, ул. 9 Января, 5а, 9, ул. Победы, 2, и требований к градостроительным регламентам в границах территорий указанных зон"
Номер опубликования: 3600202412280005
Дата опубликования:
28.12.2024
