Официальное опубликование правовых актов
ОФИЦИАЛЬНОЕ ОПУБЛИКОВАНИЕ
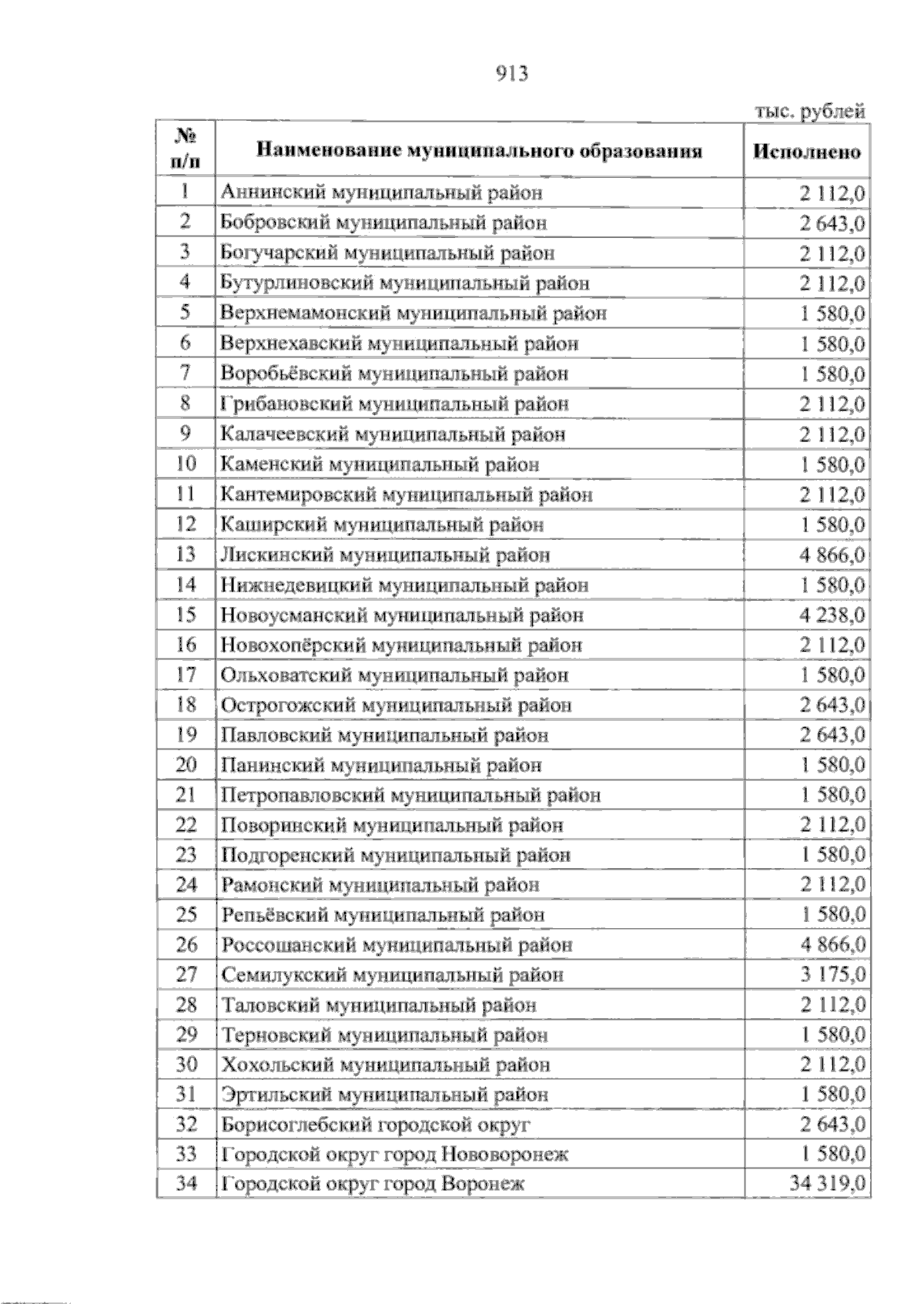
Закон Воронежской области от 23.07.2024 № 54-ОЗ
"Об исполнении областного бюджета за 2023 год"
Номер опубликования: 3600202407230002
Дата опубликования: 23.07.2024
Страница №913 из 972:
Увеличить