Официальное опубликование правовых актов
ОФИЦИАЛЬНОЕ ОПУБЛИКОВАНИЕ
Постановление Правительства Воронежской области от 07.06.2024 № 386
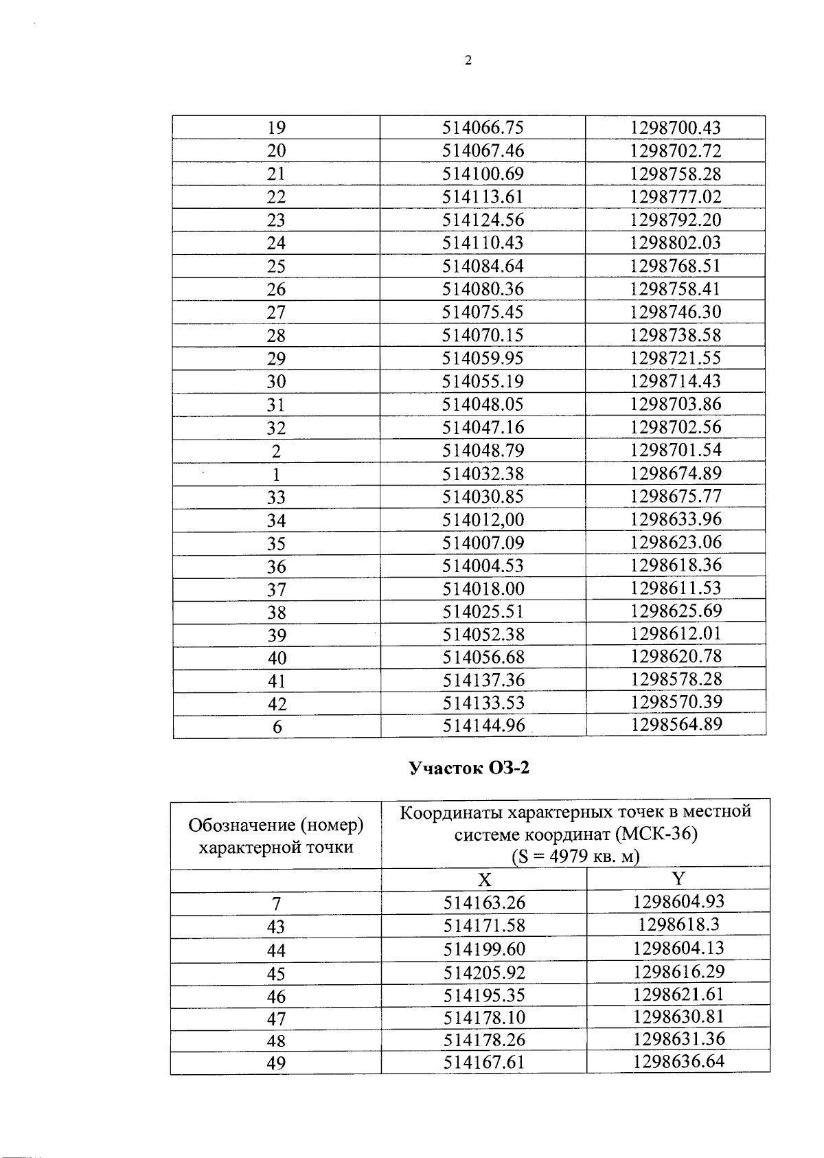
"Об утверждении зон охраны объекта культурного наследия регионального значения "Жилой дом", расположенного по адресу: Воронежская область, город Воронеж, улица Войкова, 39, и требований к градостроительным регламентам в границах территорий указанных зон"
Номер опубликования: 3600202406110016
Дата опубликования: 11.06.2024
Страница №4 из 14:
Увеличить