Официальное опубликование правовых актов
ОФИЦИАЛЬНОЕ ОПУБЛИКОВАНИЕ
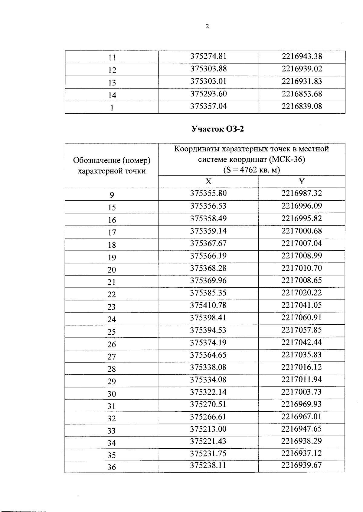
Постановление Правительства Воронежской области от 22.12.2023 № 962
"Об утверждении зон охраны объекта культурного наследия регионального значения "Мастерские", расположенного по адресу: Воронежская область, Калачеевский район, город Калач, улица III Интернационала, 1, и требований к градостроительным регламентам в границах территорий указанных зон"
Номер опубликования: 3600202312250021
Дата опубликования: 25.12.2023
Страница №4 из 11:
Увеличить