Официальное опубликование правовых актов
ОФИЦИАЛЬНОЕ ОПУБЛИКОВАНИЕ
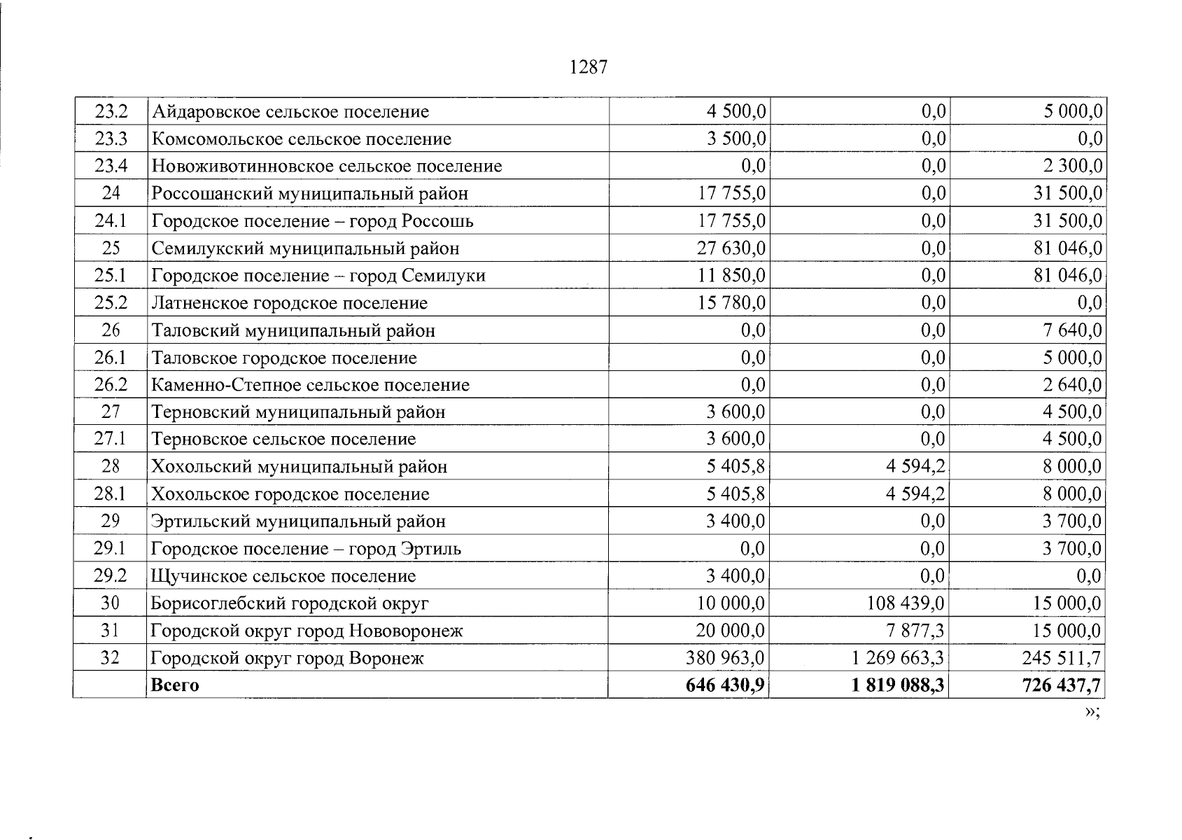
Закон Воронежской области от 01.12.2023 № 101-ОЗ
"О внесении изменений в Закон Воронежской области "Об областном бюджете на 2023 год и на плановый период 2024 и 2025 годов"
Номер опубликования: 3600202312050001
Дата опубликования: 05.12.2023
Страница №1287 из 1328:
Увеличить