Официальное опубликование правовых актов
ОФИЦИАЛЬНОЕ ОПУБЛИКОВАНИЕ
Постановление Правительства Воронежской области от 24.08.2023 № 593
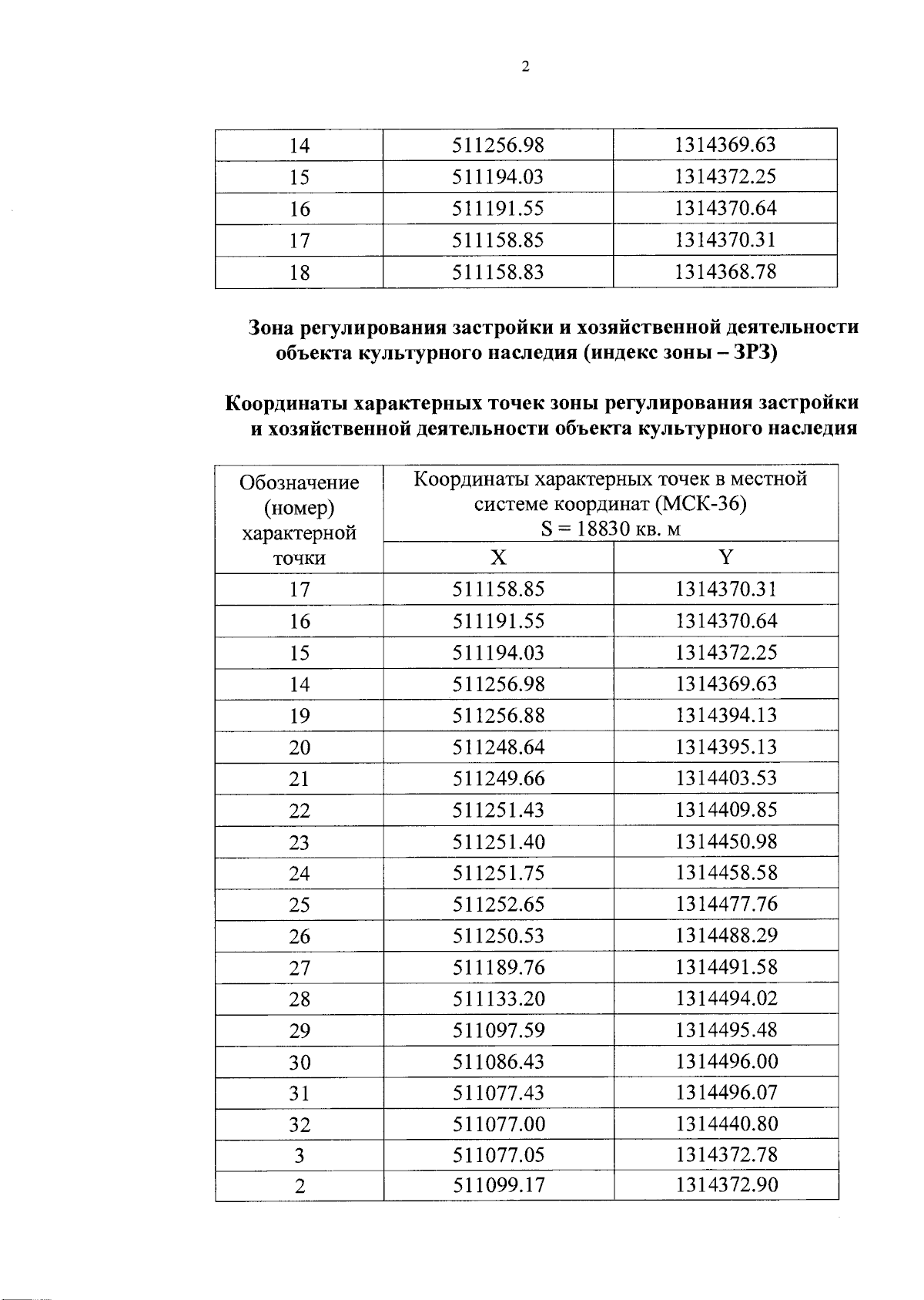
"Об утверждении зон охраны объекта культурного наследия регионального значения "Церковь Спасская", расположенного по адресу: Воронежская область, Новоусманский район, село Новая Усмань, ул. 20 лет ВЛКСМ, д. 3а, и требований к градостроительным регламентам в границах территорий указанных зон"
Номер опубликования: 3600202308280002
Дата опубликования: 28.08.2023
Страница №4 из 11:
Увеличить