Официальное опубликование правовых актов
ОФИЦИАЛЬНОЕ ОПУБЛИКОВАНИЕ
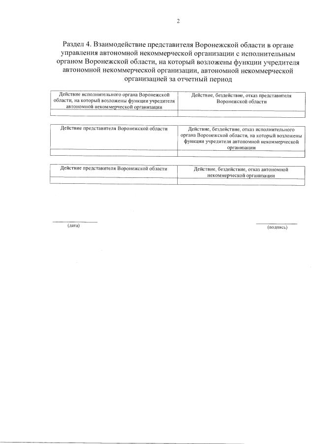
Постановление Правительства Воронежской области от 19.01.2023 № 10
"Об утверждении Порядка участия представителей Воронежской области в органах управления автономных некоммерческих организаций, учредителем которых является Воронежская область"
Номер опубликования: 3600202301200003
Дата опубликования: 20.01.2023
Страница №10 из 10:
Увеличить