Официальное опубликование правовых актов
ОФИЦИАЛЬНОЕ ОПУБЛИКОВАНИЕ
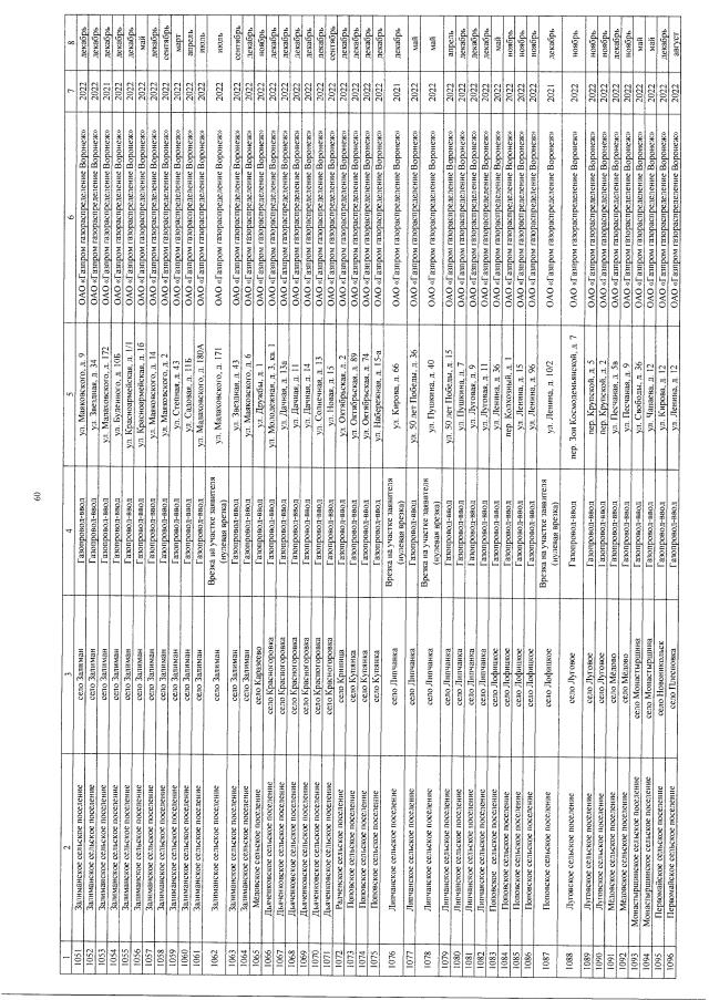
Постановление правительства Воронежской области от 05.12.2022 № 886
"О внесении изменений в постановление правительства Воронежской области от 10.02.2022 № 64"
Номер опубликования: 3600202212060002
Дата опубликования: 06.12.2022
Страница №61 из 264:
Увеличить