Официальное опубликование правовых актов
ОФИЦИАЛЬНОЕ ОПУБЛИКОВАНИЕ
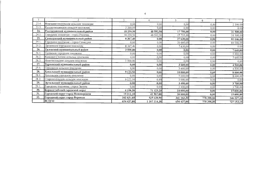
Постановление правительства Воронежской области от 18.11.2022 № 834
"О внесении изменений в распределение субсидий из областного бюджета бюджетам муниципальных образований Воронежской области на поддержку муниципальных программ в рамках регионального проекта "Формирование комфортной городской среды" на 2022 год и на плановый период 2023 и 2024 годов"
Номер опубликования: 3600202211220004
Дата опубликования: 22.11.2022
Страница №6 из 6:
Увеличить