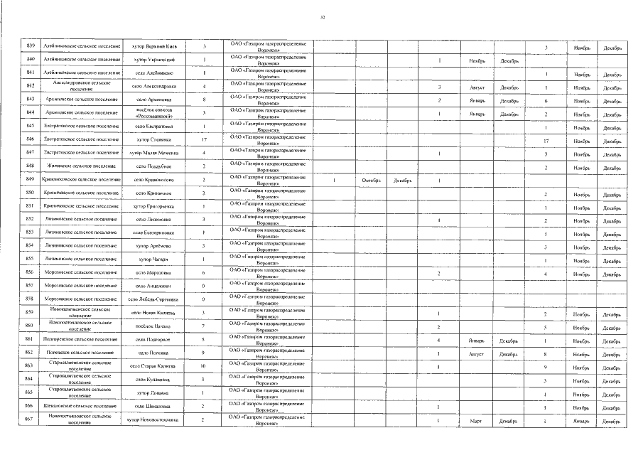
Постановление правительства Воронежской области от 22.09.2022 № 661
"О внесении изменений в постановление правительства Воронежской области от 10.02.2022 № 64"
"О внесении изменений в постановление правительства Воронежской области от 10.02.2022 № 64"
Номер опубликования: 3600202209280005
Дата опубликования:
28.09.2022
