Официальное опубликование правовых актов
ОФИЦИАЛЬНОЕ ОПУБЛИКОВАНИЕ
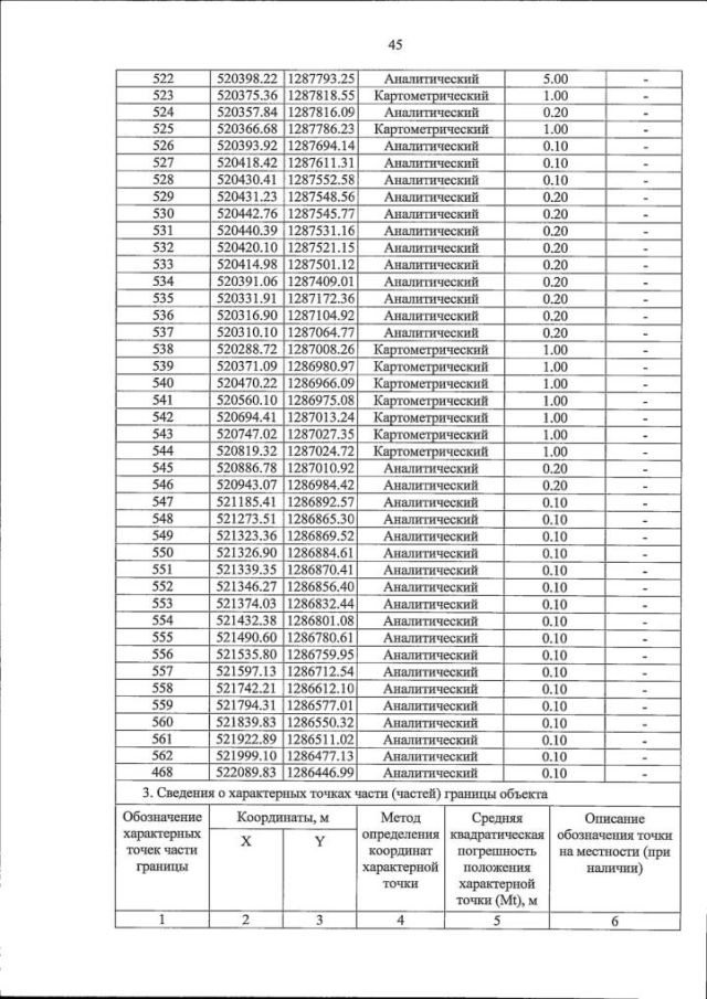
Постановление правительства Воронежской области от 22.09.2022 № 655
"О внесении изменений в постановление правительства Воронежской области от 27.01.2014 № 61"
Номер опубликования: 3600202209270002
Дата опубликования: 27.09.2022
Страница №47 из 99:
Увеличить