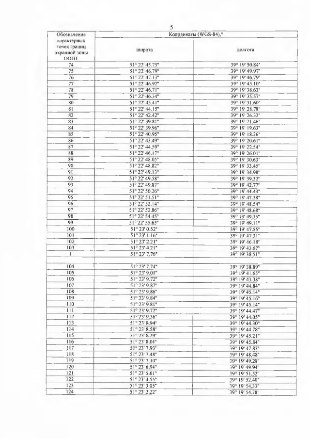
Указ губернатора Воронежской области от 27.12.2021 № 227-у
"Об установлении охранных зон памятников природы областного значения "Почвенный разрез у с. Боево", "Почвенный разрез у с. Запрудское", "Почвенный разрез у с. Красный Лог"
"Об установлении охранных зон памятников природы областного значения "Почвенный разрез у с. Боево", "Почвенный разрез у с. Запрудское", "Почвенный разрез у с. Красный Лог"
Номер опубликования: 3600202112290008
Дата опубликования:
29.12.2021
