Официальное опубликование правовых актов
ОФИЦИАЛЬНОЕ ОПУБЛИКОВАНИЕ
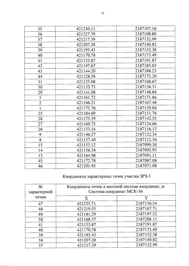
Постановление правительства Воронежской области от 30.11.2021 № 677
"Об утверждении зон охраны объектов культурного наследия регионального значения, расположенных на территории Бутурлиновского городского поселения Бутурлиновского муниципального района Воронежской области, и требований к градостроительным регламентам в границах территорий указанных зон"
Номер опубликования: 3600202112010008
Дата опубликования: 01.12.2021
Страница №15 из 33:
Увеличить