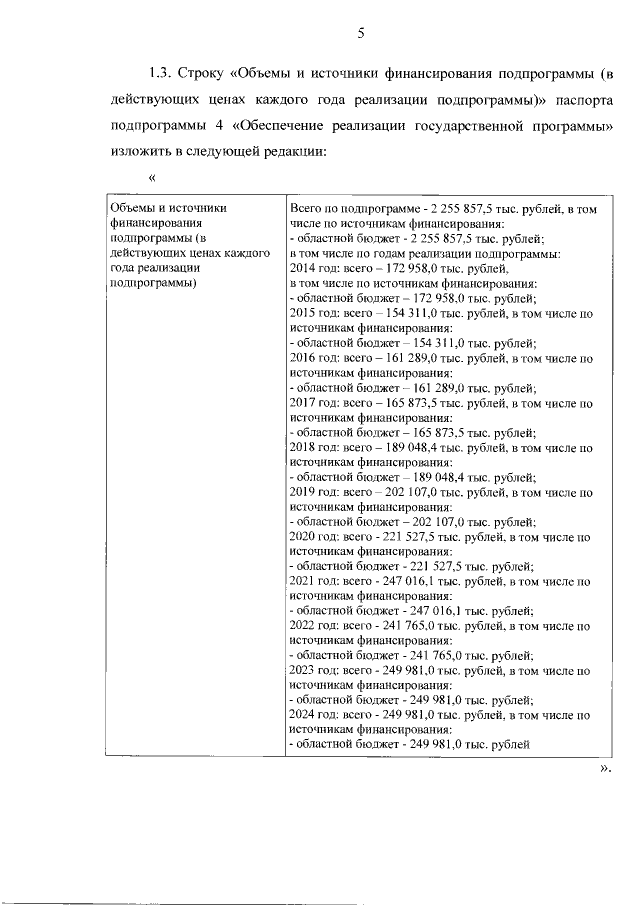
Постановление правительства Воронежской области от 07.09.2021 № 510
"О внесении изменений в постановление правительства Воронежской области от 25.12.2013 № 1163"
"О внесении изменений в постановление правительства Воронежской области от 25.12.2013 № 1163"
Номер опубликования: 3600202109080003
Дата опубликования:
08.09.2021
