Официальное опубликование правовых актов
ОФИЦИАЛЬНОЕ ОПУБЛИКОВАНИЕ
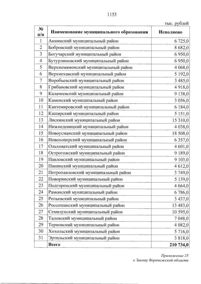
Закон Воронежской области от 05.07.2021 № 71-ОЗ
"Об исполнении областного бюджета за 2020 год"
Номер опубликования: 3600202107060001
Дата опубликования: 06.07.2021
Страница №1153 из 1229:
Увеличить