Официальное опубликование правовых актов
ОФИЦИАЛЬНОЕ ОПУБЛИКОВАНИЕ
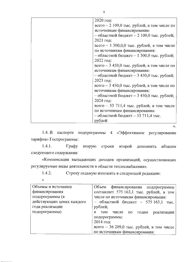
Постановление правительства Воронежской области от 31.03.2021 № 146
"О внесении изменений в постановление правительства Воронежской области от 31.12.2013 № 1190"
Номер опубликования: 3600202103310002
Дата опубликования: 31.03.2021
Страница №9 из 84:
Увеличить