Официальное опубликование правовых актов
ОФИЦИАЛЬНОЕ ОПУБЛИКОВАНИЕ
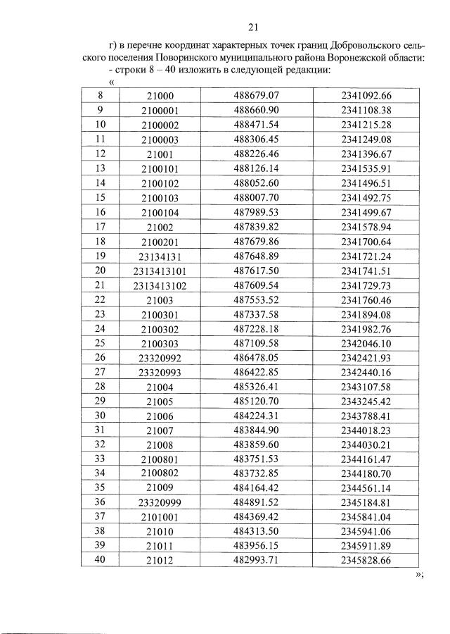
Закон Воронежской области от 05.03.2021 № 16-ОЗ
"О внесении изменений в отдельные законодательные акты Воронежской области"
Номер опубликования: 3600202103100028
Дата опубликования: 10.03.2021
Страница №21 из 22:
Увеличить