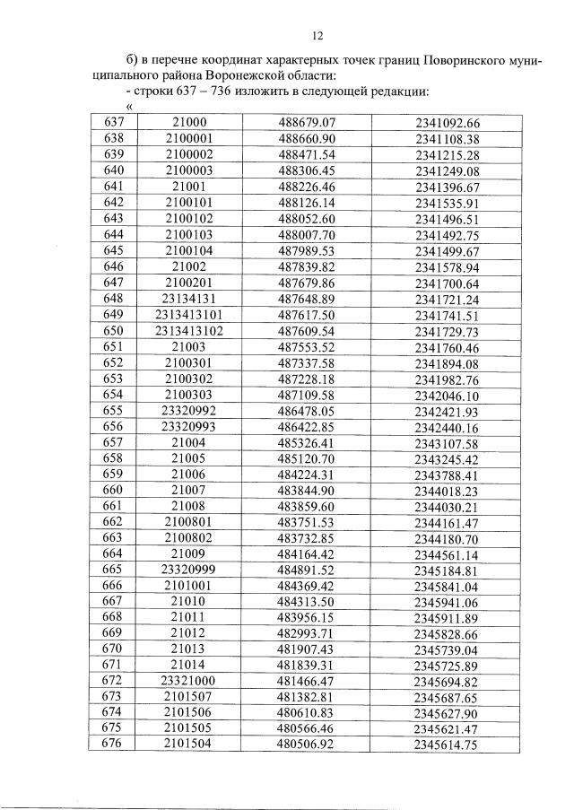
Закон Воронежской области от 05.03.2021 № 16-ОЗ
"О внесении изменений в отдельные законодательные акты Воронежской области"
"О внесении изменений в отдельные законодательные акты Воронежской области"
Номер опубликования: 3600202103100028
Дата опубликования:
10.03.2021
