Официальное опубликование правовых актов
ОФИЦИАЛЬНОЕ ОПУБЛИКОВАНИЕ
Постановление правительства Воронежской области от 11.01.2021 № 3
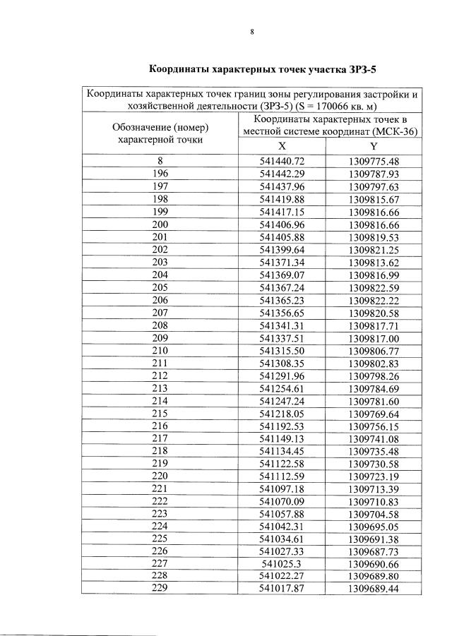
"Об утверждении зон охраны объекта культурного наследия регионального значения "Комплекс Ольденбургских "Ольгино", расположенного по адресу: Воронежская область, Рамонский район, рп Рамонь, ул. Калинина, и требований к градостроительным регламентам в границах территорий указанных зон"
Номер опубликования: 3600202101130003
Дата опубликования: 13.01.2021
Страница №10 из 32:
Увеличить