Официальное опубликование правовых актов
ОФИЦИАЛЬНОЕ ОПУБЛИКОВАНИЕ
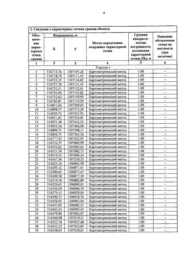
Постановление правительства Воронежской области от 17.08.2020 № 775
"О создании природного парка областного значения "Репнинский лес"
Номер опубликования: 3600202008190003
Дата опубликования: 19.08.2020
Страница №11 из 14:
Увеличить