Официальное опубликование правовых актов
ОФИЦИАЛЬНОЕ ОПУБЛИКОВАНИЕ
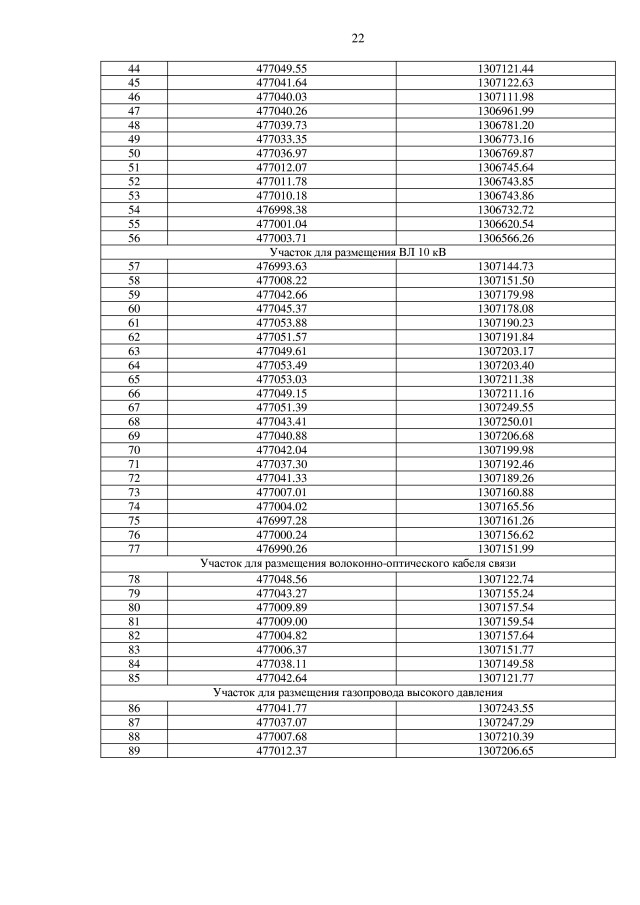
Постановление правительства Воронежской области от 13.08.2020 № 752
"Об утверждении проекта планировки территории для размещения объекта регионального значения: "Строительство подъезда к заводу ООО "БУНГЕ СНГ" в Каширском муниципальном районе Воронежской области"
Номер опубликования: 3600202008170004
Дата опубликования: 17.08.2020
Страница №24 из 90:
Увеличить