Официальное опубликование правовых актов
ОФИЦИАЛЬНОЕ ОПУБЛИКОВАНИЕ
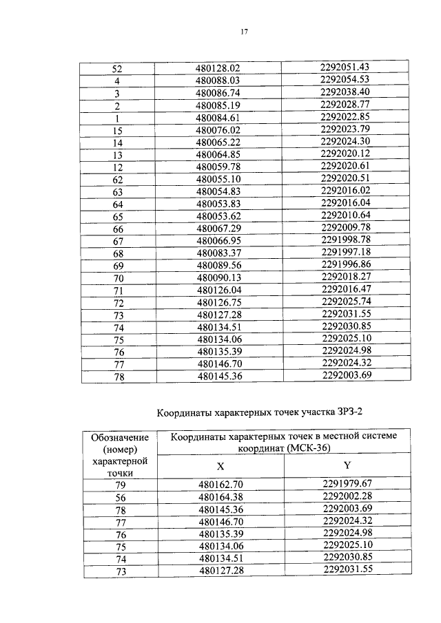
Постановление правительства Воронежской области от 16.07.2020 № 662
"Об утверждении зон охраны объектов культурного наследия регионального значения, расположенных на территории Борисоглебского городского округа Воронежской области, и требований к градостроительным регламентам в границах территорий зон охраны"
Номер опубликования: 3600202007170005
Дата опубликования: 17.07.2020
Страница №19 из 28:
Увеличить