Официальное опубликование правовых актов
ОФИЦИАЛЬНОЕ ОПУБЛИКОВАНИЕ
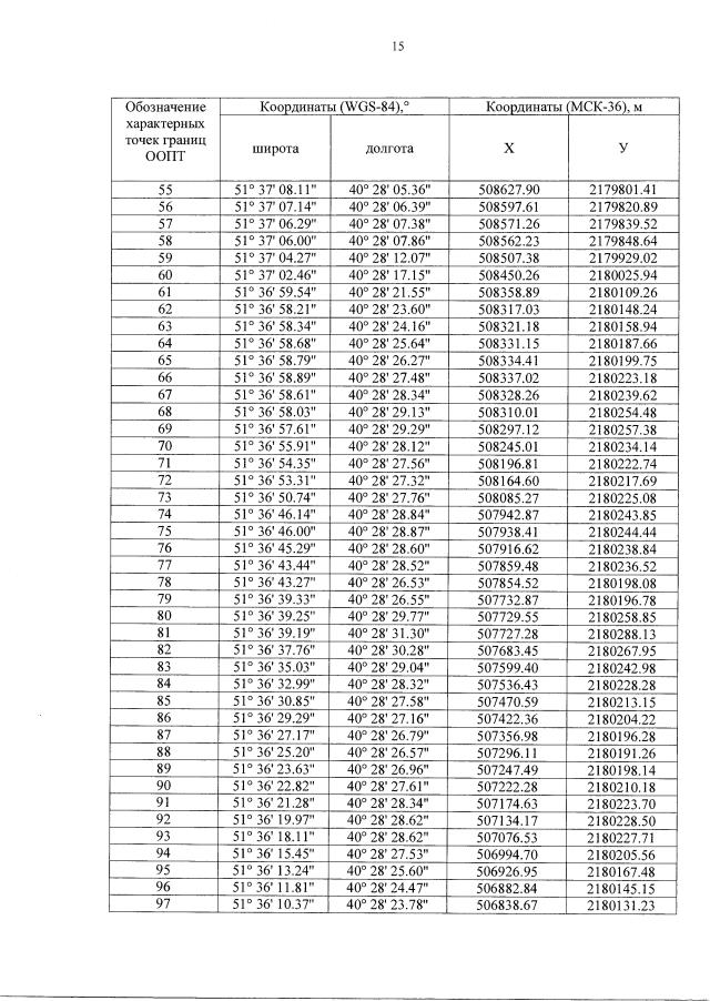
Постановление правительства Воронежской области от 02.06.2020 № 486
"О создании государственного природного заказника областного значения "Битюгский"
Номер опубликования: 3600202006030001
Дата опубликования: 03.06.2020
Страница №16 из 48:
Увеличить