Официальное опубликование правовых актов
ОФИЦИАЛЬНОЕ ОПУБЛИКОВАНИЕ
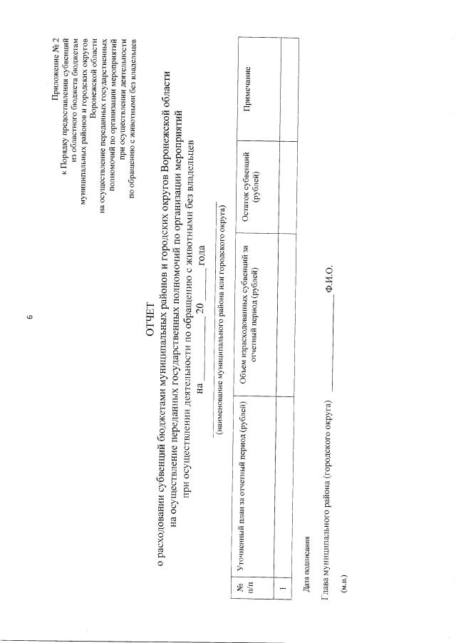
Постановление правительства Воронежской области от 30.03.2020 № 265
"Об утверждении Порядка предоставления субвенций из областного бюджета бюджетам муниципальных районов и городских округов Воронежской области на осуществление переданных государственных полномочий по организации мероприятий при осуществлении деятельности по обращению с животными без владельцев"
Номер опубликования: 3600202004010008
Дата опубликования: 01.04.2020
Страница №8 из 9:
Увеличить