Официальное опубликование правовых актов
ОФИЦИАЛЬНОЕ ОПУБЛИКОВАНИЕ
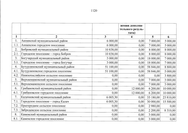
Закон Воронежской области от 26.03.2020 № 19-ОЗ
"О внесении изменений в Закон Воронежской области "Об областном бюджете на 2020 год и на плановый период 2021 и 2022 годов"
Номер опубликования: 3600202003270017
Дата опубликования: 27.03.2020
Страница №1120 из 1179:
Увеличить