Официальное опубликование правовых актов
ОФИЦИАЛЬНОЕ ОПУБЛИКОВАНИЕ
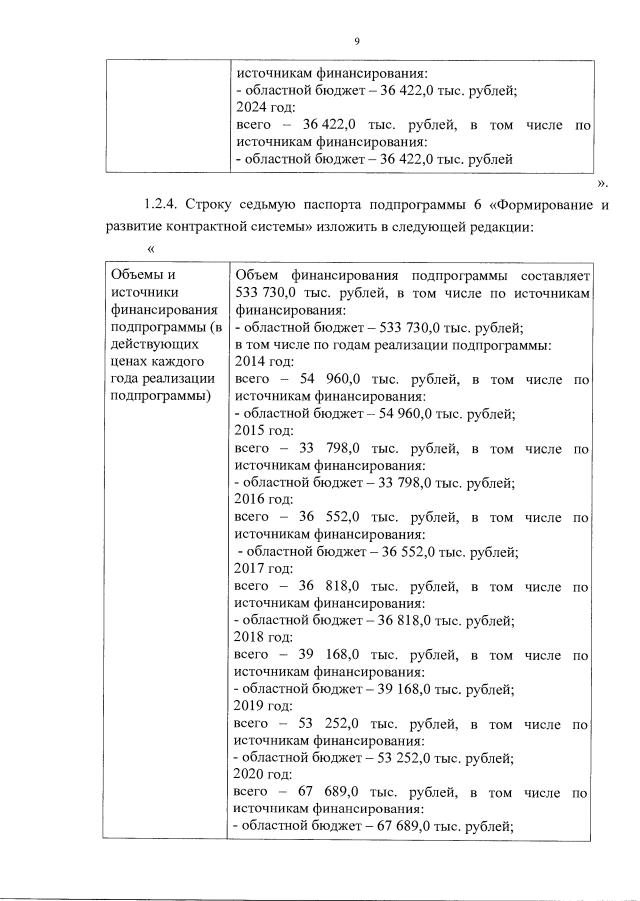
Постановление правительства Воронежской области от 18.03.2020 № 239
"О внесении изменений в постановление правительства Воронежской области от 31.12.2013 № 1190"
Номер опубликования: 3600202003200001
Дата опубликования: 20.03.2020
Страница №9 из 214:
Увеличить