Официальное опубликование правовых актов
ОФИЦИАЛЬНОЕ ОПУБЛИКОВАНИЕ
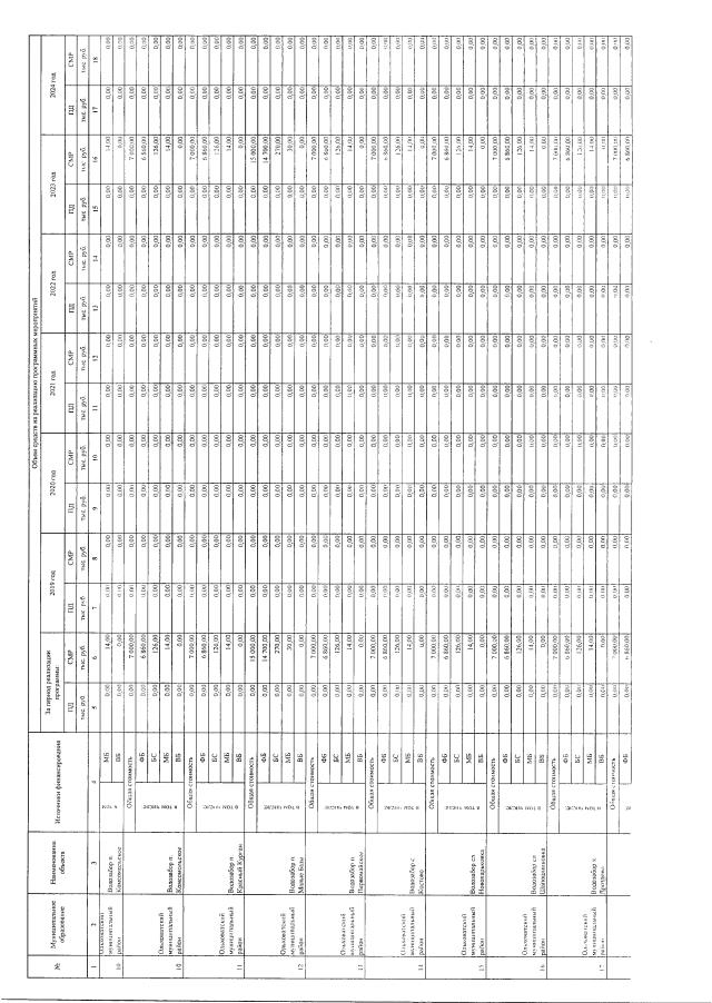
Постановление правительства Воронежской области от 27.02.2020 № 162
"О внесении изменений в постановление правительства Воронежской области от 31.12.2015 № 1060"
Номер опубликования: 3600202003020001
Дата опубликования: 02.03.2020
Страница №48 из 100:
Увеличить