Официальное опубликование правовых актов
ОФИЦИАЛЬНОЕ ОПУБЛИКОВАНИЕ
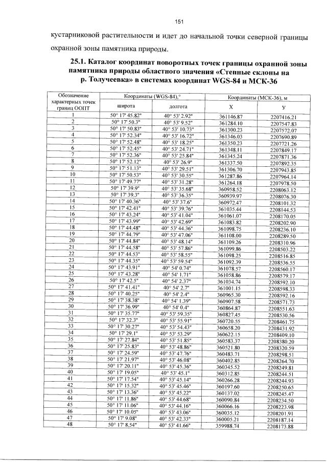
Постановление правительства Воронежской области от 08.11.2019 № 1086
"О создании охранных зон отдельных особо охраняемых природных территорий областного значения"
Номер опубликования: 3600201911120021
Дата опубликования: 12.11.2019
Страница №153 из 263:
Увеличить