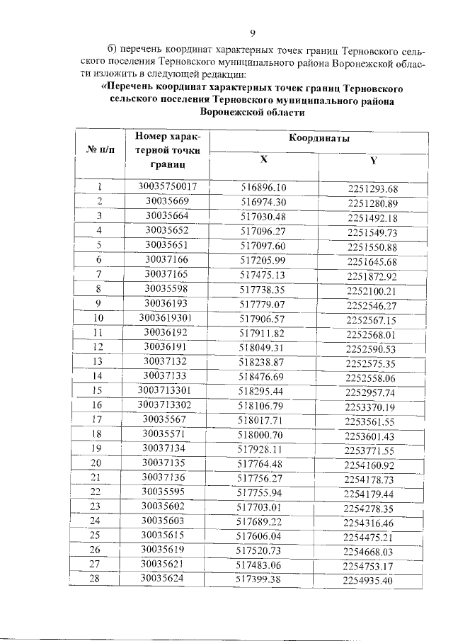
Закон Воронежской области от 04.03.2019 № 15-ОЗ
"О внесении изменений в отдельные законодательные акты Воронежской области"
"О внесении изменений в отдельные законодательные акты Воронежской области"
Номер опубликования: 3600201903050006
Дата опубликования:
05.03.2019
