Официальное опубликование правовых актов
ОФИЦИАЛЬНОЕ ОПУБЛИКОВАНИЕ
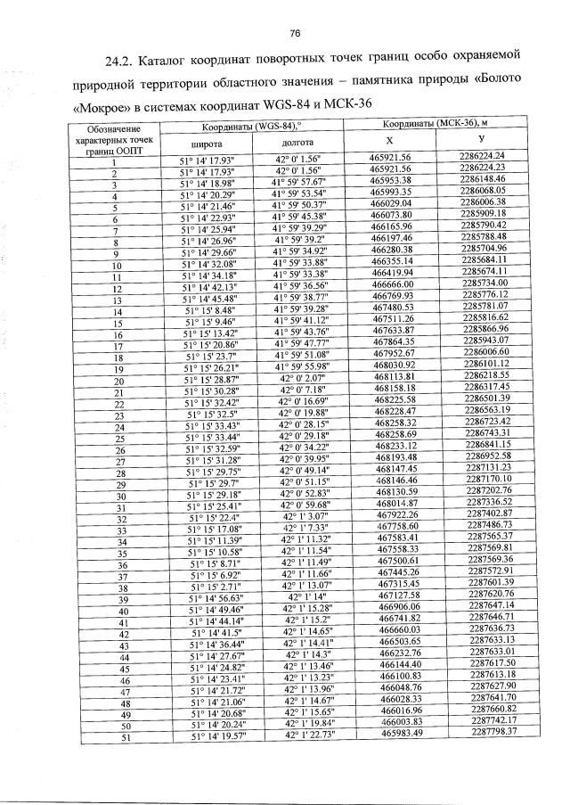
Постановление правительства Воронежской области от 29.10.2018 № 942
"Об утверждении границ и режимов особой охраны отдельных особо охраняемых природных территорий областного значения и о внесении изменений в отдельные постановления администрации и правительства Воронежской области"
Номер опубликования: 3600201811010016
Дата опубликования: 01.11.2018
Страница №94 из 159:
Увеличить